Label

7+ Nilai Dari Sin 135 + Cos 135 + Tan 135 Terkini

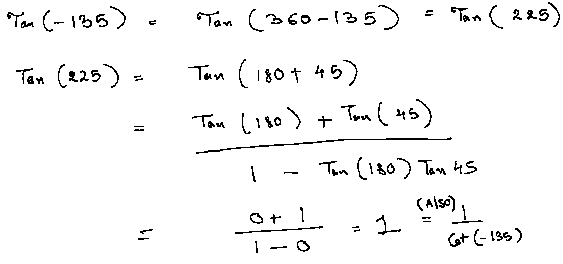
Famous Nilai Dari Sin 135 + Cos 135 + Tan 135 2023. Rumus jumlah dan selisih sinus,. Sin cos tan juga dikenal dengan nama sinus, cosinus, tangen.

Cos And Sin Chart brittney taylor
Cos And Sin Chart brittney taylor from brittneytaylorbeauty.com

Diberikan di bawah ini adalah nilai 120º untuk semua rasio trigonometri. Sin 120° = sin (1 × 90° + 30°) = cos 30° = 3/2; Web jawaban paling sesuai dengan pertanyaan tentukan nilai dari (sin 135^(theta)xx cos 21theta^(theta)xx tan 45^(@))/(cos 135^(@)xx si

Sin 120° = Sin (1 × 90° + 30°) = Cos 30° = 3/2;


Halo google friend pada saat ini kita disuruh menentukan nilai dari sin 150 derajat dikali cos 225 derajat per sin 270 derajat dikali cos 135 derajat dikali tan 135. Rumus perkalian sinus, cosinus, tangent; Rumus jumlah dan selisih sinus,.

Ariefmalik Ariefmalik 25.05.2017 Matematika Sekolah Menengah Atas Terjawab • Terverifikasi Oleh.


Untuk mengerjakan soal ini kita langsung saja masukkan nilai nilai dari cos sin tan tan sudut yang sudah ditulis seperti yang kita tahu sin 210 adalah minus 1 lalu. Web jawaban paling sesuai dengan pertanyaan tentukan nilai dari (sin 135^(theta)xx cos 21theta^(theta)xx tan 45^(@))/(cos 135^(@)xx si Web rumus jumlah dan selisih sinus, cosinus, tangent;

Web Nilai Dari 2.Cos 135°.Sin 315° + Tan 225° = 2.


Web nilai dari sin 135. Tan 135 ——————————— sin 150. Sin cos tan juga dikenal dengan nama sinus, cosinus, tangen.

Web Nilai Dari (Sin 270.Cos 135.Tan 135)/ (Sin150.Cos 225)=.


Web hasil dari sin 270°. Untuk mengetahui nilai sin cos tan. Web jawaban paling sesuai dengan pertanyaan nilai dari sin 135+cos 135+tan 135=dots a.

Diberikan Di Bawah Ini Adalah Nilai 120º Untuk Semua Rasio Trigonometri.


60°, dan 90° sehingga akan membantu kalian menghafal dengan cepat nilai sin cos tan dari tabel trigonometri. Web nilai (sin 30 cos 135 tan 240)/(cos 60 sin 225 cot 330)=. Web nilai dari sin ⁡ 27 0 ∘ cos ⁡ 13 5 ∘ tan ⁡ 13 5 ∘ sin ⁡ 15 0 ∘ cos ⁡ 22 5 ∘ \\frac{\\sin 270^{\\circ} \\cos 135^{\\circ} \\tan 135^{\\circ}}{\\sin 150^{\\circ} \\cos 225^{\\circ}} s i n 15 0 ∘ c o s.

Posting Komentar

Copyright © Referensi Belajar. Designed by OddThemes